2022-07-18 11:00 瀏覽量:11791 來源:中國食品網
瀘州是川渝滇黔結合部區域中心城市,素有“巴蜀門戶”“西南要會”之稱,是全國唯一的濃醬雙優白酒原產地,醫療資源位居全省第二位,長江在瀘州有136公里(占川江段60%),為著名的山水交融之城。成立成渝地區雙城經濟圈(瀘州)先進技術研究院,是超前謀劃、搶抓機遇、占據高位、實現高質量發展的重大舉措,對于成渝地區雙城經濟圈內其他市區都具有示范和激勵作用,應該給予充分肯定和高度評價。
成渝地區雙城經濟圈(瀘州)先進技術研究院立足市場化,建立風險投資基金、產業引導基金、產業投資基金等,以產業化為目標,廣泛吸納各種社會資本參與項目研究、中試及工程化,這是整合創新鏈、產業鏈、人才鏈、價值鏈、資金鏈的重大改革創新,將形成“風過瀘州帶酒香”的“瀘州效應”。同時,研究院按照“聚集人才、成果轉化、招引產業、促進發展”思路和堅持“政府引導、市場運作、開放共享、協同創新”的原則,整合全市各類技術新平臺和優勢資源,探索人才、資本、產業緊密結合的運營模式和創新生態,這是對僵化的科研體制機制的大膽突破和有力重建,必將產生全局的“裂變效應”和持續的“聚變反應”,為創新型國家建設提供“瀘州途徑”,貢獻“瀘州智慧”!
?。ㄒ唬o州是“川江之心”和“三門之口”
從地理看,瀘州處于長江四川段的中心位置。從長江流域形態看,瀘州處于“長江龍”的心臟位置。因此,瀘州可以稱為“川江之心”,在長江經濟帶和長江國家文化公園建設中具有“神闕穴”和“命門穴”的重要作用。

(圖1長江流域的“恐龍”形態)

(圖2“長江龍”的穴位)
2016年,我以《扭緊經濟文化雙股結構 發揮瀘州神闕命門穴作用》為題,勾畫了一幅瀘州在長江全段的價值圖。我發現,長江如龍,瀘州卡住了“命門”穴和“神闕”穴。從衛星圖片上看,整個長江流域的形狀宛如一只恐龍(圖1),瀘州剛好在恐龍的心臟位置;如果把長江看作一條巨龍(圖2),那么瀘州正好在肚臍眼位置即神闕穴與命門穴(前后平行對應關系)。由此可見瀘州在長江經濟和文化建設中的重要性。
除了“川江之心”和“神闕命門”,瀘州還處于川渝黔交界的“三門之口”(圖3)。瀘州位于四川盆地南部邊緣,是長江中下游地區經由水路前往蜀地的第一城,是名副其實的“四川(成都)南大門”;我國西部地區經由水路前往重慶,瀘州正是門戶,因此稱“重慶西大門”恰如其分;瀘州南接云貴,正是中原以及蜀地通往云貴高原之“貴州北大門”。正如古語所云,“江陽地扼南北,最為要緊之地”、“失瀘而蜀不可為”。

(圖3瀘州處于“三門之口”)
瀘州是國家歷史文化名城,具有兩千多年歷史文化;西漢設江陽侯國,宋代即為西南要會,明代即與成都、重慶三足鼎立,成為當時全國33個商業大都會之一。瀘州是連通川、渝、云、貴的關鍵之地,是四川省最鄰近長江中下游地區的城市,是溝通成都平原、云貴高原等西南地區和長江中下游地區的重鎮,因此是名副其實的“川江之心”。不僅如此,瀘州在產業發展戰略方面,可以與成都平原地區、重慶、云南、貴州等地形成良好的優勢互補,互通有無,為四省交界地區的各方面發展提供強勁動力,由此可凸顯瀘州作為“川江之心”的巨大戰略價值。
?。ǘo州在“鉆石模型”和“創新南三角”中的地位
創新是引領發展的第一動力,抓創新就是抓發展,謀創新就是未來。適應和引領我國經濟發展新常態,關鍵是要依靠科技創新、轉換發展動力。

(圖4a成渝地區雙城經濟圈科技創新的“四邊形鉆石模型”)
瀘州科技創新正處于大有可為、大有作為的重要戰略機遇期,同時也面臨不進則退、慢進亦退的嚴峻挑戰。必須深刻認識錯綜復雜的形式變化帶來的新矛盾、新挑戰,在危機中育先機,于變局中開新局,抓住機遇、應對挑戰、堅定信心、奮勇前進,推動科技創新再上新臺階,為全省全市發展大局作出新的更大貢獻。瀘州要堅持創新在現代化建設全局中的核心地位,以建設國家創新型城市為核心引領,聚焦重點任務,主攻重點領域,優化資源配置,深入推進產業鏈創新鏈深度融合,培育創新驅動動力源和高質量發展增長極,形成產業創新優勢,為瀘州建設新時代區域中心城市注入強大科技動能。
瀘州科技創新要立足區位及產業優勢,堅持“有所為、有所不為”的原則,克服“跟風現象”和“從眾效應”,保持自己的發展定位和發展定力,錯位借力,揚長補短,突出自身優勢,避免同質化競爭、雷同化火拼與重復性攻關,不拼硬件拼軟件,不拼體量拼質量,不拼體力拼智力,不拼共性拼特性,不求最大但求最佳,不求最新但求最精,不求最高但求最好,不求原創但求眾創,聚焦應用科技和“有根產業”,探索雙城經濟圈背景下瀘州創新驅動的發展路徑,提升瀘州在全省乃至全國創新版圖中的地位與能級,這就是“雙城創新瀘州策”,也是當前重要的理論和實踐課題。

(圖5a成渝地區雙城經濟圈“創新南三角”)

(圖5b成渝地區雙城經濟圈“創新南三角”)

(圖5c成渝地區雙城經濟圈“創新南三角”)
?。ㄈo州在成渝地區雙城經濟圈中的戰略地位突出
成渝地區雙城經濟圈戰略,這給四川特別是瀘州發展帶來空前機遇,巨大紅利。成渝地區雙城經濟圈區域內生態稟賦優良、能源礦產豐富、城鎮密布、風物多樣,是我國西部人口最密集、產業基礎最雄厚、創新能力最強、市場空間最廣闊、開放程度最高的區域,在國家發展大局中具有獨特而重要的戰略地位。“十三五”期間,瀘州大力實施創新驅動發展戰略,推動質量變革、效率變革、動力變革,創新要素進一步集聚,創新創業環境進一步優化,產業競爭力進一步提升,區域創新能力進一步增強,瀘州全市區域創新能力綜合水平晉升全省第四,科技主要指標位居全省第二方陣排頭兵位置,部分指標進入第一方陣,創新型城市建設取得重大進展。瀘州成為成渝地區雙城經濟圈的“高速創新動車”具有先天條件和厚實基礎。
雙城經濟圈主要包括重慶市的中心城區及萬州、涪陵、綦江、大足、黔江、長壽、江津、合川、永川、南川、璧山、銅梁、潼南、榮昌、梁平、豐都、墊江、忠縣等2 7個區(縣)以及開州、云陽的部分地區,四川省的成都、自貢、瀘州、德陽、綿陽(除平武縣、北川縣)、遂寧、內江、樂山、南充、眉山、宜賓、廣安、達州(除萬源市)、雅安(除天全縣、寶興縣)、資陽等1 5個市,總面積18.5萬平方公里。這是綱領性文件,規劃期至2025年,展望到2035年。瀘州全域進入規劃范圍,承擔重要使命。
成渝地區雙城經濟圈的戰略定位是,建設成為“一極一源兩中心兩地”——帶動全國高質量發展的重要增長極和新的動力源,具有全國影響力的重要經濟中心、科技創新中心、改革開放新高地、高品質生活宜居地。瀘州是長江上游重要節點和區域中心城市,在成渝地區雙城經濟圈建設中占有極為重要的地位,在“一極一源兩中心兩地”中占據無可取代的戰略地位。
在共建科技創新中心中大有作為。中央要求,成渝地區雙城經濟圈,建設具有全國影響力的科技創新中心,從體制機制、重大項目、重點工作做出了系列布局,推出了系列重大舉措、重大方略。首先要建設成渝綜合性科學中心。聚焦核能、航空航天、智能制造和電子信息等領域的戰略性產品開發,在四川天府新區、重慶高新區集中布局建設若干重大科技基礎設施和一批科教基礎設施,引導地方、科研機構和企業建設系列交叉研究平臺和科技創新基地,打造學科內涵關聯、空間分布集聚的原始創新集群。再是要求優化創新空間布局。統籌天府國際生物城、未來科技城和成都高新區等資源,建設西部(成都)科學城。瞄準新興產業設立開放式、國際化高端研發機構,建設重慶兩江協同創新區。依托重慶大學城、重慶高新區等,夯實智能產業、生物醫學發展基礎,建設西部(重慶)科學城。高水平建設中國(綿陽)科技城,鼓勵大院大所發展孵化器、產業園,推動空氣動力技術、核技術等再研發和在周邊地區轉化。以“一城多園”模式合作共建西部科學城。支持在突出優勢領域布局組建國家實驗室以及國家實驗室基地,推動中國科學院等在雙城經濟圈布局科研平臺。瀘州可以接受輻射,融入中心,共建共享,發展自己。
瀘州在航空航天、軍工電子裝備、自主可控計算機、高端材料、核能與核技術應用等重點領域,可以培育一批軍民融合特色鮮明的龍頭企業。同時根據北斗地基增強系統建設,加快發展衛星通信、遙感產業,建設空天信息產業基地。在軍地科技資源共享、標準通用、任務對接、聯合攻關等方面先行先試,加快建設軍民科技協同創新平臺。探索建設軍事物流多式聯運、軍需物資集中保障、野戰食品快速籌供、軍民通用裝備保障、野戰救治后方支援、工程保障應急支援等保障區。這些領域是瀘州應該高度關注的新領域和新動態,深度融入以提高自身產業能級與層次。
?。ㄋ模o州應在發展數字經濟中實現轉型升級
布局完善新一代信息基礎設施。加快5G網絡建設,推進千兆光纖接入網絡廣泛覆蓋,加快推進基于IPv6的下一代互聯網部署,推動國家級互聯網骨干直聯點寬帶擴容。統籌布局大型云計算和邊緣計算數據中心。“東數西算”。完善工業互聯網標識解析國家頂級節點功能,加快建設二級節點。積極發展物聯網,建設全面覆蓋、泛在互聯的城市智能感知網絡。
合力打造數字產業新高地。聚焦集成電路、新型顯示、智能終端等領域,打造“云聯數算用”要素集群和“芯屏器核網”全產業鏈,培育超高清視頻、人工智能、區塊鏈、數字文創等創新應用,聯手打造具有國際競爭力的電子信息產業集群。大力發展數字經濟,推動數字產業化、產業數字化,促進軟件、互聯網、大數據等信息技術與實體經濟深度融合,加快重點領域數字化發展,引領產業轉型升級。圍繞產業發展需要,推動共建成渝工業互聯網一體化發展示范區、區域協同公共服務平臺和服務體系,構建全國領先的“5G+工業互聯網”生態。支持聯合建設國家數字經濟創新發展試驗區和國家數字服務出口基地,建設“智造重鎮”和“智慧名城”。
積極拓展數字化應用。探索建立統一標準、開放互通的公共應用平臺,推動雙城經濟圈政務數據資源共享共用,推動地級以上城市全面建立數字化管理平臺。穩步推進“數字+”與城市運營管理各領域深度融合。適應數字技術全面融入社會交往和日常生活新趨勢,促進公共服務、社會運行和治理方式創新,構筑全民暢享的數字生活。
四是全面提升數字安全水平。加強通信網絡、重要信息系統和數據資源保護,增強關鍵信息基礎設施可靠性和安全防護能力。完善重慶和成都重要數據災備中心功能,建設聯合異地災備數據基地。建設網絡安全產業基地,支持開展法定數字貨幣研究及移動支付創新應用。
?。ㄎ澹?ldquo;七個維度”看瀘州科技創新的獨特優勢
從歷史維度看,瀘州具有創新的遺傳基因。瀘州是歷史文化名城,自古就有改革創新的喜好與精神,尤其是生物發酵工程歷史悠久,成績卓著,使瀘州成為全國乃至世界知名的“中國酒城”。“四渡赤水”是毛主席的得意之作,徹底扭轉紅軍被動局面,“雞鳴三省”會議在瀘州召開,共和國不能忘記瀘州,應該建好長征國家文化公園瀘州景區;明代才子楊升庵在瀘州碼頭寫下的《臨江仙》,“滾滾長江東逝水,浪花淘盡英雄”,成為千古絕唱,看透了人生,但給人磅礴力量!應該建設“臨江仙廣場”和“楊升庵紀念館”,成為長江國家文化公園的重要景觀和高光景點。
從“雙城”維度看,瀘州具有創新的區位優勢。瀘州位于“一帶一路”和長江經濟帶交匯處,是西部陸海新通道的重要站點,具有連接西南西北,溝通東亞與東南亞的獨特優勢。瀘州是成渝地區雙城經濟圈南翼中心城市、川渝滇黔結合部區域中心城市,處于川南渝西融合發展試驗區特別是“瀘(州)永(川)江(津)融合示范區”的核心地位,是成渝綿瀘創新“四邊形鉆石模型”的光亮南角(圖4),是成渝瀘“創新南三角”的穩定三足之一(圖5)。


(圖4b成渝地區雙城經濟圈科技創新的“四邊形鉆石模型”)

(圖4c成渝地區雙城經濟圈科技創新的“四邊形鉆石模型”)
瀘州是重要的商貿物流中心,長江上游重要的港口城市,是長江中上游地區第二大集裝箱碼頭,四川第三大航空港 ;形成了以名酒文化、生態文化、紅色文化、歷史文化、長江文化為代表的五大特色旅游資源。瀘州市已成功列入首批省級創新型城市建設名單,3個省級重點實驗室、3個省級工程技術研究中心,科技創新綜合水平躋身全省前列,共認定市級科技型企業869家,
從國家維度看,瀘州具有創新的突出稟賦。瀘州是“中國(四川)自貿區”重要組成部分(川南臨港片區),第三批國家新型城鎮化綜合試點地區、跨境電子商務綜合試驗區;世界級白酒產業基地,國家重要的以名優酒為主體的食品工業基地、循環型化工基地、清潔能源生產基地、國家高性能液壓件高新技術產業化基地、國家9大工程機械生產基地之一。先后獲得過聯合國改善人居環境最佳范例獎(迪拜獎)、中國地級市民生發展100強、國家衛生城市、中國優秀旅游城市、國家森林城市、國家園林城市、全國文明城市、國家水生態文明城市等榮譽。創建了瀘州國家高新區、江陽區國家可持續發展試驗區、國家引才引智示范基地,建成了全國唯一的國家固態釀造工程技術研究中心。
“十三五”期間,瀘州全市國家高新技術企業從49家增長到143家,居全省第4位、川南第一。培育國家科技型中小企業357家,瞪羚企業實現零的突破,高新技術產業成為全市經濟重要增長極。
從政策維度看,瀘州具有創新的優良環境。2016年以來,先后出臺了《中共瀘州市委 瀘州市人民政府關于推進科技創新改革驅動轉型發展的實施意見》《瀘州市人民政府關于加快創新型城市建設推動高質量發展的實施意見》等系列文件,加強科技創新的頂層設計與系統謀劃,形成了涵蓋瀘州全市科技創新總體部署,涉及科技項目管理、科研院所改革、科技人員激勵、科技成果轉移轉化等一系列配套政策;相繼推進了重點領域關鍵核心技術攻關、產業技術創新、企業技術創新、重大專項實施。2020年瀘州高新技術企業營業收入過億元的有44家;高新技術產業營業收入379億元;高技術產業增加值增長38.4%。
從實踐維度看,瀘州具有創新的成功經驗。“十三五”期間,瀘州研究與試驗發展經費、科技創新綜合水平指數大幅度增長。實施國家、省級科技計劃項目610項,在智能化釀造、裝備制造、現代醫藥、能源化工等領域取得突破性成果,部分技術躋身行業領先水平。不斷完善科技成果轉移轉化體系,設立國家技術轉移西南中心瀘州分中心,成功打造省級技術轉移示范機構3家,并培育了一批技術轉移示范企業和技術經理人,促進科技成果持續產生,推動科技成果擴散、流動、共享、應用并實現經濟與社會價值。實施科技扶貧攻堅行動,建立完善“科技聯姻、項目扶貧、組團幫扶”服務體系,成就突出。已經攻克了一批關鍵技術,積累了豐富的實踐經驗。比如瀘州老窖公司應用現代生物技術對老窖池中的微生物進行分離,有效推動了固態釀造產業的轉型升級和高質量發展。還有瀘天化公司以天然氣和煤炭為原料,進行了“提高天然氣制乙炔產率技術研究”,開發了10余種產品。邦立重機公司“特大型環保電動系列液壓挖掘機”戰略性新興產品項目,其關鍵核心技術達到國際領先水平。完善了現代農業發展支撐體系,為現代農業發展提供科技支持。
從實體維度看,瀘州具有創新的多種平臺。圍繞產業鏈部署創新鏈,通過“項目+平臺”等模式,逐步形成“政府引領、企業主體、市場導向”創新平臺創建體系,推動創新要素有效聚集。成功打造國家高新技術產業化基地3個、國家大學科技園1家、國家級科技企業孵化器2家、國家引才引智示范基地1家,建成省級重點實驗室2家、省級工程技術研究中心2家、省級科技企業孵化器7家。目前瀘州建成各類科技創新平臺293個,全市國、省級科技創新平臺達137家,其中國家級34家,為創新驅動發展提供了有力支撐。瀘州高新區、瀘縣醫藥園區均建成國家級科技企業孵化器,科瑞德制藥公司獲批全省首個企業牽頭組建的省級重點實驗室,長開區獲批國家新型工業化產業示范基地,江陽區躋身全國科技創新百強區。瀘州老窖參股成立科創公司。
從人才維度看,瀘州具有創新的強勁智力。大力實施酒城人才新政,打造“科技領軍人才”“青年科技英才”“科技之星”等引才育才品牌,從2017年起,市本級每年設立5000萬元的人才發展基金,吸引高層次人才和團隊來瀘創新創業。“十三五”期間,瀘州柔性引進兩院院士、國務院特殊津貼專家、國家“萬人計劃”專家等領軍人才344人,培育科技創新團隊12個、科技領軍人才15人,全市科技人才總量達39.86萬人。加強國際科技交流合作,瀘州共全職引進國(境)外高端人才34人,其中國務院“中國政府友誼獎”獲得者1名。先后分別與中國科學院、北京航空航天大學、四川大學、重慶大學、西南大學、西南醫科大學等高校院所簽訂產學研合作協議,通過建立專項資金、共建科研平臺、重大項目聯合攻關、人才培養等推進院地、校地戰略合作。
?。o州創新驅動的局部短板與攻堅策略
瀘州科技創新也存在一些短板,比如,一是全社會研發投入偏低;二是科技與經濟融合不深,企業創新主體地位不突出;三是創新平臺能級不高,創新平臺數量多;四是創新人才支撐不足,引才難、留才難的問題仍然存在;五是創新環境有待優化,激勵創新的機制和政策還不健全,高端創新資源的吸引和集聚能力不強,金融服務創新驅動發展的力度有待提升等等,必須努力克服。
當前,全球科技發展面臨前所未有的挑戰和機遇,全球創新版圖正加速重構,顛覆性技術不斷涌現,科技創新發展呈現跨界融合、底層延伸、基礎邁進的新趨勢,催生新技術、新業態、新模式,整合和重構全球價值鏈條。新冠疫情全球大流行使世界大變局加速演進,科技創新正以前所未有之勢深刻影響著國家前途命運與人民生活福祉。
世界科技形勢、中國科技需求、雙城經濟圈的科技戰略、瀘州的經濟現狀,都逼迫我們加快科技創新,實施創新驅動發展。堅持創新在全市發展大局中的核心地位,把創新作為引領瀘州高質量發展的第一動力,加快建設成渝地區雙城經濟圈區域科技創新中心和國家創新型城市,在四川和成渝地區雙城經濟圈創新版圖中獨樹一幟,貢獻獨特力量。主要指標必須進入四川省第一方陣,成為四川省和成渝地區雙城經濟圈重要創新動力源、技術創新策源地,成為長江上游國家創新資源集聚地、科技成果轉移轉化高地。堅持科技賦能、科技惠民、融合創新、深化改革、人才引領,放大已有優勢、發掘潛在優勢,加強關鍵核心技術攻關和轉化應用,加快實現優勢領域重點突破,以創新促轉型,以轉型促發展。
堅持 “一體兩翼”特色發展戰略,形成具有瀘州氣質的區域科技創新體系,打造成渝地區雙城經濟圈具有影響力的區域科技創新中心。
發揮“一體骨干創新作用”。一體中心城區(江陽區、龍馬潭區、納溪區):要突出科技創新主陣地作用,打造“酒城科創集中承載核心區”,聚焦特色產業深化科技賦能,聚力建設川渝滇黔結合部創新高地。江陽區依托國家高新區、酒業園區等載體,大力推進制造業創新和技術創新應用,打造高新技術產業集聚地、固態釀造技術創新中心。龍馬潭區發揮“水公鐵空”完善的交通樞紐優勢,依托自貿試驗區川南臨港片區、綜合保稅區等國家級平臺,打造臨港創新產業集聚區、創新融合發展示范基地、科技體制改革先行試驗區。納溪區聚焦“產業數字化、數字產業化”,推動數字融合、數字服務、數據安全、數字創意等產業創新,推動大數據融合發展創新區建設走在全省前列。
突出“東翼協同創新作用”。東翼川渝毗鄰區(瀘縣、合江縣):區域內能源化工、先進材料、現代醫藥等產業特色優勢明顯,要深化與永川、江津、榮昌等地協同創新,推動川南渝西科技創新優勢互補,建設川渝毗鄰區域融合創新發展示范帶。瀘縣依托醫藥產業園等平臺,推動現代醫藥、能源化工等領域產學研一體化發展,推動頁巖氣勘探開發綜合利用技術創新與示范,打造醫藥新興產業創新示范區、川渝融合綠色低碳技術示范基地。
釋放“南翼聯動創新效應”。南翼烏蒙山區(敘永縣、古藺縣):突出烏蒙山區生態綠色本底,充分發揮現有資源優勢,積極探索生態產品價值實現路徑,增強創新對醬酒產業、康養文旅產業、山地特色產業、生態環保產業的支撐作用,建設綠色技術創新成果轉化應用示范帶,促進區域經濟社會發展全面綠色轉型。
牢固樹立人才是第一資源理念。成渝地區雙城經濟圈戰略要求,實施有吸引力的人才政策,引進和培養高水平創新人才隊伍,鼓勵科技人才在區域內自主流動、擇業創業。支持在人才評價、外籍人才引進等政策創新方面先行先試。鼓勵成渝地區大學面向全球招生,引進優秀博士后和青年學者。支持引進國內外頂尖高校和科研機構在成渝地區合作建設研究院和研發中心,設立長期、靈活、有吸引力的科研崗位。深入推進職務科技成果所有權或長期使用權改革試點,探索高校和科研院所職務科技成果國有資產管理新模式,推動形成高校和科研院所職務科技成果退出或部分退出國有資產管理清單。深化政府部門和科研單位項目資金管理制度改革,允許科研資金跨省市使用。探索建立兩省市改革舉措和支持政策異地同享機制。支持通過股權與債權相結合等方式,為企業創新活動提供融資服務。支持符合條件的創新型企業上市融資。
瀘州市要加快壯大人才總量、盤活人才存量、提升人才質量、激發人才能量,推動形成人才輩出、人盡其才的生動局面。創造公平、自由、民主、寬松、獨立的創新環境,鼓勵異想天開、包容失敗走偏,吸引更多怪才、奇才、偏天才。堅決破除唯論文、唯職稱、唯學歷、唯獎項等觀念。探索建立優秀人才職稱評定綠色通道,開展高層次、急需人才職稱直聘試點,完善青年人才“舉薦制”。緊扣重點領域、重點產業、重點項目,建立靶向引才、專家薦才、柔性引才機制,圍繞高端緊缺人才目錄,吸引聚集一流的戰略科技人才、科技領軍人才、杰出創新青年和創新團隊。建立開放的人才市場體系,探索戶口不遷、關系不轉、身份互認、能出能進,雙向兼職取酬、雙向自由流動、共享科研設施(設備)的科技人才柔性流動機制,大力引進國內外高層次人才。加強高技能人才隊伍建設,大力培養新時代“酒城工匠”。加強企業家隊伍建設,打造一支具有鮮明時代特征、高水準的企業家隊伍。 著力培育科技型中小企業,倍增培育高新技術企業,發展創新型領軍企業。重點依托白酒(食品)、電子信息(數字經濟)、裝備制造、現代醫藥、能源化工等領域規上企業,聚焦領軍企業技術創新需求,鼓勵創新型領軍企業謀劃實施重點科技項目,建設重大科技研發平臺。鼓勵高新技術企業發展為創新型領軍企業,加快成長為“單打冠軍”“獨角獸企業”,推動優質高新技術企業掛牌上市。
打造高能級科技創新平臺。積極參與四川戰略科技平臺建設和中國西部(成都)科學城建設,構建彰顯瀘州特色的實驗室體系,爭創國家重點實驗室。圍繞優勢產業、網絡安全等重點領域布局一批高水平重點實驗室、研究院等基礎設施集群。加大瀘州與省內外高校、科研院所戰略合作力度,在電子信息、高端裝備、生物醫藥、新材料、現代農業等產業領域新建一批政產學研用協同創新平臺和產業技術研究院。鼓勵支持企業牽頭、高校院所支撐,組建工程技術中心、研發基地、技術研究中心。
全面融入成渝地區建設具有全國影響力的科技創新中心生態圈,推動建設“川江科創帶”。精準對接成渝“雙核”優勢資源,依托瀘州國家高新區等9個國、省級園區,4個國家高新技術產業基地,承接成都、重慶的外溢科技創新成果,推動成渝研發、瀘州孵化,成渝人才、瀘州舞臺,成渝設計、瀘州制造,成渝科技、瀘州產業,助推成渝地區雙城經濟圈產業創新和轉型升級。充分發揮瀘州在白酒、醫療醫藥、職業教育、數字經濟、特色農產品等方面特色,打造白酒科技創新中心、川渝醫藥健康區域創新中心等高能級的平臺,提升城市能級,形成支持西部科學城建設的區域特色體系。
設立協同創新專項資金。積極參與成渝地區高校、科研院所等機構的協同創新。以“瀘永江融合發展示范區”建設為契機,探索建立跨區域成果轉移轉化、重大科研平臺建設、聯合開展技術攻關合作等成本分擔和利益共享機制。率先在科技孵化資源整合、科技特派員互派、科技人才庫共建共享、打造創新聯盟等方面取得突破,示范帶動川南渝西協同創新。鼓勵支持瀘州白酒產業園區推動固態釀造技術創新和綠色循環發展,創建國家級經濟技術開發區、世界級優質白酒產業集群核心區、世界級白酒文化旅游目的地和國家級產城融合發展示范區。鼓勵支持瀘州航空航天產業園區建設航空航天高端裝備制造高地。鼓勵支持瀘州云溪數字經濟產業園建設四川省特色產業基地,以培育數字經濟產業為主導,打造產業生態系統化、基礎設施網絡化、功能服務精準化和運營發展智能化的智慧園區,形成瀘州科技創新的新引擎。
?。ㄆ撸o州科技創新的“十大重點任務”
瀘州要聚焦白酒(食品)、電子信息(數字經濟)、裝備制造、現代醫藥、能源化工、紡織新材料、綠色建材等七個先進制造業和戰略性新興產業,推動創新鏈與產業鏈的深度融合,圍繞產業鏈布局創新鏈,圍繞創新鏈布局產業鏈。集中突破一批關鍵技術,實現科技賦能制造業轉型升級。形成較高集聚性、根植性、先進性和具有較強協同創新力、智造發展力和品牌影響力的高新技術產業集群。編制產業鏈樹狀圖,建立關鍵核心技術攻關項目庫,運用揭榜制等方式支持龍頭企業牽頭對重點產業鏈“卡脖子”技術進行產業化突破。
推進白酒(食品)產業技術創新。四川盆地屬于地理第二階梯,但海拔低、河流眾多、氣候溫潤、生物資源豐富,有世界獨一無二的植物與動物,是世界上最好的盆地。四川盆地微生物菌群極為豐富而穩定、有獨特的“天府菌”數千種,本地發酵產品獨具風味,享譽世界。通過大力發展純糧固態釀造,加快生產釀造自動化、智能化升級,開發國際化產品標準,深入開展發酵機理和微生態分析研究,建設具有全球影響力白酒創新中心,提升全產業鏈規模效益,建設全國領先的白酒生產基地和智能釀造基地,打造世界級優質白酒產業集群。
推進電子信息(數字經濟)產業技術創新。構建電子信息產業生態圈和創新生態鏈,建設西南重要的電子信息產業制造基地。重點聚焦手機整機及其零部件、智能終端、新型顯示、電子元器件及其他零部件等制造業領域,打造全國數字城市標桿。積極引進研發設計、關鍵零部件制造、整機制造、供應鏈金融等企業,支持重點企業做強做大。大力發展數字經濟,著力推進數字產業化。打造白酒、醫療健康、物流等行業應用標桿,創建國家新型工業化產業示范基地(大數據)。
推進裝備制造產業技術創新。以精密化、集成化、智能化為方向,加快先進制造業創新發展,突破一批智能制造裝備關鍵技術,大力發展汽車及零部件、工程機械、油氣鉆采裝備等產業,鼓勵先進制造模式創新,推動數字化設計、自動化制造、信息化管理、網絡化經營等新業態多元化多維度發展,發展智慧工廠支撐技術,推動裝備制造向柔性、綠色、智能、精細轉變,大力推進汽車及零部件、工程機械及液壓元件、油氣鉆采裝備、智能裝備等產業基礎研究和智能化升級,打造先進的裝備制造和智能制造應用示范基地。
推進現代醫藥產業技術創新。依托醫藥產業園,發揮平臺功能,聚焦創新醫藥、現代中藥、醫療器械等領域關鍵技術研發,大力開展補鏈強鏈招商和科研成果孵化,著力構建中藥、化學藥、生物制藥、醫療器械、醫藥衍生和配套產業五大產業鏈。啟動建設康復輔助器具特色產業園。積極圍繞重大疾病診療和食品安全檢測需求,開發形成一批防治腫瘤、心血管疾病、糖尿病、老年性疾病、重要傳染病等重大疾病的創新藥物、生物制品和現代中藥。積極培育大健康新業態,建立大健康服務體系,全面引領大健康產業發展。
推進能源化工產業技術創新。通過科技創新推動能源化工產業轉型發展,加快推進西南油氣田勘探開發和綜合利用重點項目,加強頁巖氣勘探開采和轉化利用核心關鍵技術開發,打造國家天然氣(頁巖氣)千億立方米級產能核心基地。依托原材料基礎優勢,推動天然氣化工、氯堿化工向精細化方向發展,精細化工、化工新材料向高端高質方向發展,發展高附加值、深加工和終端產品。重點開發乙烯深加工產品、高附加值天然氣化工和精細化工產品。研發生產聚碳酸酯、纖維素醚、有機硅等下游產品。
推進紡織新材料產業技術創新。聚焦紡織產業的新材料、服裝飾品等領域關鍵技術攻關,加快建設恒力智能化新材料項目,形成年產120萬噸紡絲和10億米織布的生產能力。
推進綠色建材產業技術創新。積極發展建筑業總部經濟,推動建筑業集群發展。推動建筑業高質量發展,促進建筑業向工業化、綠色化、智能化轉型升級,加快建設建筑業強市。
高度重視戰略性新興產業和未來產業的技術創新。瞄準未來市場廣闊、潛力巨大、代表科技革命和產業變革方向的戰略性新興產業和未來產業,注重新產業、新模式、新領域,前瞻性地描繪技術創新路線圖。比如人工智能技術及產業。包括工業機器人及伺服電機、減速器、控制系統和傳感器等零部件企業;AI算法與芯片技術;無人機、低空飛行、自動駕駛、車載激光雷達、智能座艙等智能汽車零部件、人工智能等在遠程醫療、智能制造、商業服務等方面技術創新與成果應用。又如生物科技及健康產業。包括基因工程藥品制品、高端診斷醫療設備、康復訓練機器人、健康實時監控、移動醫療、智能診斷、合成生物、免疫細胞治療、靶向藥物、干細胞治療等方面技術創新與成果轉化。再如新能源技術及其產業。包括新能源汽車相關的高能量密度高安全性電池、電池隔膜、高效電動空調、氫氣循環系統、電動化底盤、制動能量回收系統、氫燃料電池技術及產業發展。還有新材料技術及其產業。包括高性能合金制備技術和關鍵成型技術研究、新型石墨烯研發與應用、3D打印新材料新技術發展、航空航天用鈦合金及其零部件技術創新及成果轉化。
加強鄉村振興中的科技創新。加快創建國家農業科技示范園區,打造成渝地區雙城經濟圈農業新技術開發、轉化、推廣的重要基地。圍繞精品果業、高效林竹、綠色蔬菜、特色經作、優質糧食、現代養殖、休閑農業、加工物流等農業特色產業需求,加大農業機械裝備、農業信息化、農業資源高效利用、農業生態環境、農作物耕作栽培管理、畜禽水產養殖、農作物災害防治、動物疫病防控、農產品加工儲存物流和農產品質量安全等領域新品種、新技術、新工藝和新產品的研發,逐步解決制約優勢特色產業發展的技術瓶頸,支撐建設長江上游優質農產品供給基地和加工物流基地。
加強其他領域的重要科技創新。比如商業模式的數字技術創新,培育和壯大科技服務市場主體。打造瀘州科技大腦平臺,整合科技領域重要數據,通過創新主體精準畫像和科研數據實時追蹤,實現科技領域智能化管理、精準化服務、數據化決策。又如開展智能交通服務、信息表征和交換、工業互聯網標識解析、網絡優化、產品質量跟蹤和檢測等技術開發。研發智慧倉儲系統、智慧物流調撥系統等關鍵技術;結合綜合應用大數據、區塊鏈、人工智能等技術,推進冷鏈物流、城市配送、國際物流、電子商務物流和農村物流等智能化。再是推進智慧醫療發展,推動5G 技術、人工智能技術與醫療場景深度融合,開發人工智能專家問診系統,打造線上線下結合的智能診療生態系統。還要鼓勵企業加大研發投入,引導金融資金和民間資本進入創新領域。建立財政科技資金的預算績效評價體系,建立健全相應的績效評價和監督管理機制。
(八)結束語
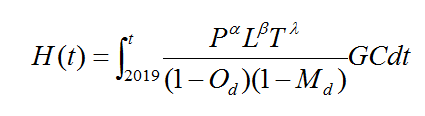
在成渝地區雙城經濟圈中,成都、重慶、綿陽構成了“創新金三角”(科技金三角),瀘州與“創新金三角”是協同耦合關系,共同形成了雙城經濟圈的“四邊形鉆石模型”,這個“鉆石”是經濟圈的創新核心區,可以帶動德陽、資陽、內江、永川、江津、北碚、潼南、遂寧等四邊區域的創新發展。瀘州位于 “成渝雙城橢圓南弧”,并為南邊出口和門戶(長江、自貿區等),是雙城的“副城”(通過長江、岷江和南向通道連接)和“第三城”(ABC中的C城),與成都、重慶構成了 “創新南三角”,與雙城有很強互補性和共生性。針對瀘州的歷史、文化、經濟、科技、區位參數,可以提出“瀘州發展方程”。假如把2019年作為時間起點,瀘州與成渝地區雙城經濟圈的關系可以用如下公式描述:

在“瀘州發展方程”中,各個參數都與時間有關,都與創新有關。因此,堅持與時俱進,創新驅動,是瀘州高質量發展的內在要求。其中,開放、人才、治理(法治)、科技、市場、地理位置、成都-重慶影響力,是瀘州發展的主要因素。方程中的參數分別是:
Od:Degree of Openness開放度、包容度,Od∈(0,1),是時間的函數Od(t),包括交通體系,文化交融,產業國際化程度。
Md:Degree of Marketization市場化程度Md∈(0,1),是時間函數Md(t),包括治理體系現代化程度,產品辨識度和知名度(白酒、電子、化工等)。P:Population人口、人才。
L:Law法治保障、產權保護。T:Technology科技、創新。其中α、β、λ為指數,標志人口、法治、科技對總結果的邊際影響力,三者相加表示閉環影響,故而α+β+λ=1
G:Geography地理常數,瀘州對外連接重慶、貴州、云南,是雙城的南向開放門戶,有長江口岸、自貿區等。
C:Chengdu-Chongqing成都-重慶函數C(t),表示雙城經濟圈影響力。
從此公式可以看出瀘州的發展力,改革開放Od是力量之源,市場化Md是發展之根,而人才P是立身之本,法治L則是長治久安的保障,科技T是第一生產力。瀘州在雙城經濟圈的地理位置G常數是推動力,成都-重慶函數C(t)則是瀘州發展的協同力和耦合力。
綜上所述, 瀘州是“川江之心”,處于川渝黔交界的“三門之口”,是成渝地區雙城經濟圈“四邊形鉆石模型”的閃光南角,與成都、重慶共同構成了成渝瀘“創新南三角”,形成了穩定的三足鼎立結構。瀘州是四川高質量發展的“南翼引擎”,是雙城經濟圈高速前行的“創新動車”,是建設社會主義現代化強國的“西南重鎮”,是中華民族偉大復興的“有力支點”,使命光榮,任重道遠!
?。ㄗ髡撸褐泄菜拇ㄊ∥拇ㄊ∪嗣裾疀Q策咨詢委員會副主任、成都市社科聯主席、四川省社會科學院教授、博士生導師李后強,2022年7月15日在第十七屆中國國際酒業博覽會“成渝地區雙城經濟圈(瀘州)創新驅動引領高質量發展高峰論壇”上的報告)
?。ㄗ髡呤跈喟l布)
上一篇:酒莊號觀察:群賢畢至把脈問診貴州醬酒,剖析產區現狀與大勢
下一篇:中國食品網播報 產業調整開啟 中國酒業:慢下來 靜下來 沉下來